← Back to headlines

Study Examines Urban Slums as Stepping-Stones or Traps
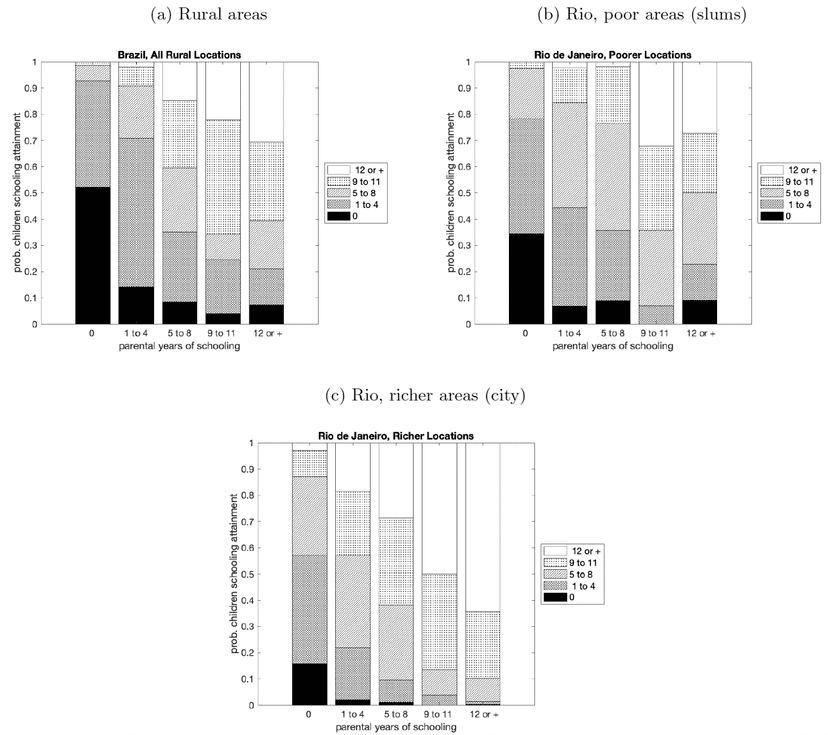
A study in Brazil suggests urban slums can offer upward mobility through access to public education, raising questions about its global applicability.
17 Feb, 07:55 — 17 Feb, 07:55
ℹOnly 1 source covers this story
